Introduction to R

(Part II)

Giuseppe Arena

Tilburg University

2024-01-18

Welcome back!

Goals of part II



exploring
data

visualizing
data

running
statistical analyses

Data exploration

Loading data from R package into workspace

We use the dataset HolzingerSwineford1939 available inside the package lavaan.
> # install 'lavaan' package
> install.packages("lavaan", dependencies = TRUE)
> 
> # loading 'lavaan' package
> library(lavaan)
This is lavaan 0.6-17
lavaan is FREE software! Please report any bugs.
> 
> # load dataset in the workspace, you can check this with the function 'ls()'
> data("HolzingerSwineford1939")
> 
> # use a shorter symbolic name for the dataset 
> dataset1 <- HolzingerSwineford1939
> 
> # re-assign the column 'sex' as a factor
> dataset1$sex <- factor(dataset1$sex)

						

Description of the dataset

The Holzinger and Swineford dataset (1939) consists of mental ability test scores of seventh- and eighth-grade children from two different schools (Pasteur and Grant-White). For the complete documentation use ?HolzingerSwineford1939.

Variable name Description
idIdentifier
sexGender
ageyrAge, year part
agemoAge, month part
schoolSchool (Pasteur or Grant-White)
gradeGrade
Variable name Description Factor
x1Visual perception
x2Cubesvisual
x3Lozenges
x4Paragraph comprehension
x5Sentence completiontextual
x6Word meaning
x7Speeded addition
x8Sepeeded counting of dotsspeed
x9Speeded discrimination straight and curved capitals

Basic functions for a data.frame object

Basic functions for a data.frame object

dim( ), colnames( ), rownames( )
> # dimensions of the dataset 
> dim(dataset1) # 301 rows (observations) and 15 columns (variables)
[1] 301  15
> 
> # column names of 'dataset1'
> colnames(dataset1) # 'names(dataset1)' returns the same information
	[1] "id"     "sex"    "ageyr"  "agemo"  "school" "grade"  "x1"     "x2"    [...]
> 
> # row names of 'dataset1'
> rownames(dataset1)
	[1] "1"   "2"   "3"   "4"   "5"   "6"   "7"   "8"   "9"   "10"  [...]

						
head( )
> # first six rows of a data.frame
> head(dataset1[,c(1:6)])
	id sex ageyr agemo  school grade
1  1   1    13     1 Pasteur     7
2  2   2    13     7 Pasteur     7
3  3   2    13     1 Pasteur     7
4  4   1    13     2 Pasteur     7
5  5   2    12     2 Pasteur     7
6  6   2    14     1 Pasteur     7
										
tail( )
> # last six rows of a data.frame
> tail(dataset1[,c(1:6)])
		id sex ageyr agemo      school grade
296 345   1    13     3 Grant-White     8
297 346   1    13     5 Grant-White     8
298 347   2    14    10 Grant-White     8
299 348   2    14     3 Grant-White     8
300 349   1    14     2 Grant-White     8
301 351   1    13     5 Grant-White    NA
										

Structure and summary of a data.frame

str( ) and summary( )
> # structure of the data.frame: dimensions, name and data type of each column in the data.frame
> str(dataset1[,c(1:6)]) 
'data.frame':	301 obs. of  6 variables:
$ id    : int  1 2 3 4 5 6 7 8 9 11 ...
$ sex   : Factor w/ 2 levels "1","2": 1 2 2 1 2 2 1 2 2 2 ...
$ ageyr : int  13 13 13 13 12 14 12 12 13 12 ...
$ agemo : int  1 7 1 2 2 1 1 2 0 5 ...
$ school: Factor w/ 2 levels "Grant-White",..: 2 2 2 2 2 2 2 2 2 2 ...
$ grade : int  7 7 7 7 7 7 7 7 7 7 ...
>
> # summary of the data.frame object (prints out a summary per each columns of the data.frame)
> ## for quantitative variables: Min - 1st Quartile - Median - Mean - 3rd Quartile - Max - NA's 
> ## for qualitative (categorical) variables: frequency values
> summary(dataset1[,c(1:6)])
       id        sex         ageyr        agemo                school        grade      
 Min.   :  1.0   1:146   Min.   :11   Min.   : 0.000   Grant-White:145   Min.   :7.000  
 1st Qu.: 82.0   2:155   1st Qu.:12   1st Qu.: 2.000   Pasteur    :156   1st Qu.:7.000  
 Median :163.0           Median :13   Median : 5.000                     Median :7.000  
 Mean   :176.6           Mean   :13   Mean   : 5.375                     Mean   :7.477  
 3rd Qu.:272.0           3rd Qu.:14   3rd Qu.: 8.000                     3rd Qu.:8.000  
 Max.   :351.0           Max.   :16   Max.   :11.000                     Max.   :8.000  
                                                                         NA's   :1   
							

Filtering rows of a data.frame with subset( )

Filtering rows of a data.frame with subset( )

Example: subset of students from school "Pasteur", selecting only information about age (ageyr), and visual variables (x1, x2, x3).
						> # Filtering a dataset
> subset1 <- subset(x = dataset1, 
+                   subset = school == "Pasteur",
+                   select = c(ageyr, x1, x2, x3))
> 
> head(subset1)
	ageyr       x1   x2    x3
1    13 3.333333 7.75 0.375
2    13 5.333333 5.25 2.125
3    13 4.500000 5.25 1.875
4    13 5.333333 7.75 3.000
5    12 4.833333 4.75 0.875
6    14 5.333333 5.00 2.250
						
					
The logical operator == (double equal sign) is used for checking equality between two objects. Instead, to check whether two objects are not equal, use the operator !=.

Filtering with more conditions:
logical operators & (AND), | (OR)

Filtering with more conditions

Example 1: subset of students of the 7th grade AND from school "Pasteur", selecting only information about sex (sex), and visual variables (x1, x2, x3).
						> subset2 <- subset(x = dataset1, 
+                   subset = grade == 7 & school == "Pasteur",
+                   select = c(sex, x1, x2, x3))
> head(subset2)
	sex       x1   x2    x3
1   1 3.333333 7.75 0.375
2   2 5.333333 5.25 2.125
3   2 4.500000 5.25 1.875
4   1 5.333333 7.75 3.000
5   2 4.833333 4.75 0.875
6   2 5.333333 5.00 2.250
						
					
The logical operator & (AND) compares two logical values (the one on the left and the one on the right of the symbol) and returns a TRUE only if both logical values are TRUE.

Filtering with more conditions

Example 2: subset of students from the school Pasteur AND with age less than 13 OR greater than 14 years, selecting sex (sex), age (ageyr), and visual variables (x1, x2, x3).
						> subset3 <- subset(x = dataset1, 
+                   subset = (school == "Pasteur") & (ageyr < 13 | ageyr > 14), 
+                   select = c(sex,ageyr, x1, x2, x3))
> head(subset3)
   sex ageyr       x1   x2    x3
5    2    12 4.833333 4.75 0.875
7    1    12 2.833333 6.00 1.000
8    2    12 5.666667 6.25 1.875
10   2    12 3.500000 5.25 0.750
11   1    12 3.666667 5.75 2.000
12   1    12 5.833333 6.00 2.875
						
					
The logical operator | (OR) compares two logical values (the one on the left and the one on the right of the symbol) and returns a TRUE if at least one of the two logical values is TRUE.

colMeans( )

colMeans( ) allows to calculate the mean for each column of a data.frame (or matrix).

						> # Function 'colMeans( )'
> 
> # subset school == "Pasteur"
> subset_pasteur <- subset(x = dataset1, 
+                          subset = school == "Pasteur", 
+                          select = c(ageyr, x1, x2, x3) )
> # subset school == "Grant-White"
> subset_grantwhite <- subset(x = dataset1, 
+                             subset = school == "Grant-White", 
+                             select = c(ageyr, x1, x2, x3) )
> 
> # colMeans 
> colMeans(subset_pasteur, na.rm = TRUE)
	ageyr        x1        x2        x3 
13.250000  4.941239  5.983974  2.487179 
> colMeans(subset_grantwhite, na.rm = TRUE)
	ageyr        x1        x2        x3 
12.724138  4.929885  6.200000  1.995690 
						
					
Another similar function is colSums( ), which returns the sum value per each column in the data.frame (or matrix).

apply( )

apply(X, MARGIN, FUN) allows to apply the function FUN to the MARGIN of the object X (a data.frame or a matrix)
						> # Applying a function (FUN) to columns/rows (MARGIN) of a data.frame/matrix (X)
> 
> # using function 'apply( )' with arguments
> # X, the data
> # MARGIN, 1 for applying FUN by row, 2 for applying FUN by columns
> # FUN, the function to apply to each row or column (e.g., sd(), function to
> #                                                   calculate standard deviation)
> 
> apply(X = subset_pasteur, 
+       MARGIN = 2, 
+       FUN = sd,   
+       na.rm = TRUE) 
	ageyr       x1       x2       x3 
1.063318 1.185003 1.230224 1.163818 
> 
> apply(X = subset_grantwhite, 
+       MARGIN = 2, 
+       FUN = sd,   
+       na.rm = TRUE) 
	ageyr        x1        x2        x3 
0.9681222 1.1523039 1.1112587 1.0396244 
						
					

tapply( )

tapply(X, INDEX, FUN) allows to apply a function FUN on a variable X per each level of another variable INDEX (categorical).
						> # mean of 'ageyr' per each level of variable 'school'							
> tapply(X = dataset1$ageyr, INDEX = dataset1$school, FUN = mean)
Grant-White     Pasteur 
	12.72414    13.25000 
> 
> # standard deviation  of 'x1', 'x2', and 'x3' per each level of variable 'school'
> tapply(X = dataset1$x1, INDEX = dataset1$school, FUN = sd, na.rm = TRUE)
Grant-White     Pasteur 
	1.152304    1.185003 
> tapply(X = dataset1$x2, INDEX = dataset1$school, FUN = sd, na.rm = TRUE)
Grant-White     Pasteur 
	1.111259    1.230224 
> tapply(X = dataset1$x3, INDEX = dataset1$school, FUN = sd, na.rm = TRUE)
Grant-White     Pasteur 
	1.039624    1.163818 					
						
					

Frequency tables

The function table( ) in R is used to create tables returning the frequency (counts) of the levels of one or more categorical variables. The frequency table can be created on the levels of one categorical variable (one-way table), on two categorical variables (two-way table) or on more categorical variables. The function prop.table( ) calculates the relative frequencies from a frequency table..
table( )
						> # Contingency tables - table( )
> 
> # (1) One-way contingency table of
> #     'school'
> table(dataset1$school)
Grant-White     Pasteur 
		145         156 
> # 145 students from "Grant-White",
> # 156 from "Pasteur"
> 
> # (2) Two-way contingency table of 
> #     'school' and 'sex'
> table(dataset1$school, dataset1$sex)
                 1  2
    Grant-White 72 73
    Pasteur     74 82
						
					
prop.table( )
						> # Relative frequency table - prop.table( )
> # (1) for one-way tables 
> school_tab <- table(dataset1$school)
> prop.table(x = school_tab) 
Grant-White     Pasteur 
	0.4817276   0.5182724 
>
> # (2) for two-way tables
> school_sex_tab <- table(dataset1$school,
+                         dataset1$sex)
> prop.table(x = school_sex_tab, margin = 1) 		
						1         2
	Grant-White 0.4965517 0.5034483
	Pasteur     0.4743590 0.5256410
							
						
Note: for one-way tables (1), the relative frequency will be calculated using the total of the table (145/301 = 0.4817 and 156/301 = 0.5183). For two-way tables (2), the user can specify which 'margin' (= 1 by rows or, = 2 by columns) to refer for the total (e.g., (2) with margin = 1).

Variance and covariance

var( )
								> # (1) var(x) to calculate variance
> # of vector 'ageyr'
> var(x = dataset1$ageyr)
[1] 1.103322
>
> # (2) var(x,y) to calculate covariance
> # beween variables 'ageyr' and 'x1'
> var(x = dataset1$ageyr, y = dataset1$x1)
[1] -0.07354743	
								
							
cov( )
								> # (1) cov(x,y) to calculate
> # covariance between 'ageyr' and 'x1'
> cov(x = dataset1$ageyr, y = dataset1$x1)
[1] -0.07354743
> 
> # (2) cov(x) calculates covariance matrix
> # between 'ageyr' and 'x1' 
> # (supplying a data.frame to x)
> cov(x = dataset1[,c("ageyr","x1")])
			ageyr          x1
ageyr  1.10332226 -0.07354743
x1    -0.07354743  1.36289774				
								
							
The standard deviation of a variable can be calculated using the function sd( ).

Correlation

cov2cor( )
								> # calculate covariance matrix with cov(x)
> cov_matrix <- cov(x = dataset1[,c("ageyr",
+                                   "x1")])
>
> # convert to correlation matrix
> # V is the input covariance matrix
> cov2cor(V = cov_matrix)
							
cor( )
								> # (1) cor(x,y)  calculates the correlation
> # between 'ageyr' and 'x1'
> cor(x = dataset1$ageyr, y = dataset1$x1)
[1] -0.05997699
> 
> # (2) cor(x) correlation matrix of the
> # variables in a data.frame 
> cor(x = dataset1[,c("ageyr","x1","x2","x3")]) 
        ageyr          x1         x2        x3
ageyr  1.000000 -0.059977 -0.01526 0.03718
x1    -0.059977  1.000000  0.29735 0.44067
x2    -0.015260  0.297346  1.00000 0.33985
x3     0.037179  0.440668  0.33985 1.0000
								
							

Data visualization

R packages: 'graphics' and 'ggplot2'

R packages: 'graphics' and 'ggplot2'

'graphics'
									> # plot function
> plot(x, # data
+      y, # data
+      type, # points (p), lines (l), etc..
+      main, # plot title
+      xlab, # x-axis label
+      ylab, # y-axis label
+      pch, # point style
+      lwd, # line width
+      lty, # line style
+      cex, # point size
+      col # color,
+      ...) # etc.
Input arguments avialable also for other plotting functions,
depending on the type of plot
'ggplot2'
									> # plot function with 'ggplot2'
> # concatenation of ggplot objects by '+'
> ggplot(data,  # a data.frame
+        mapping = aes(x,y)) + 
+ # mapping defines an aes() object
+ # geom_point( ) add points to 
+ # the ggplot object 
+ geom_point(color, size) + 
+ labs(title, 
+      x, 
+      y) +
+  theme_bw() # theme that defines the
+             # aspect of the plot
Other functions of the type geom_xzy() allow to display different types of plots

Scatter plot

The scatter plot is used for visualizing the relationship between two numeric variables. Individual data points are plotted on a two-dimensional graph. Each data point is represented by a dot, and its position on the graph depends on the values of the two variables used in the plot. With a scatter plot, it is possible to detect outliers and identify potential patterns.

plot(x, y, type = "p")
									> # Scatter plot
> plot(x = dataset1$x1,
+      y = dataset1$x2,
+      type = "p",  # 'p' = 'points'
+      main = "Scatter plot 'x1' vs. 'x2'",
+      xlab = "x1",
+      ylab = "x2",
+      pch = 1,
+      cex = 0.5,
+      col = "gray50")
geom_point( )
									> # Scatter plot with 'ggplot2'
> ggplot(data = dataset1, 
+        mapping = aes(x = x1, y = x2)) + 
+ geom_point(color = "gray50", size = 0.8) + 
+ labs(title = "Scatter plot 'x1' vs. 'x2'", 
+      x = "x1", 
+      y = "x2") +
+  theme_bw()

Line plot

The line plot is used for visualizing data points connected by straight lines. The line shows the trend of a variable over an ordered variable, for instance the time. A line plot is commonly used for time series data, where the x-axis represents the time variable, and the y-axis represents the variable of interest.

plot(x, y, type = "l" or "b")
									> # Line plot
> # some random data
> time <- 1:20
> y <- 3.5 + time*0.4 + rnorm(n=length(time))
> plot(x = time,
+      y = y,
+      type = "l", # 'l' = 'lines'
+      main = "Line plot of 'y'",
+      xlab = "time",
+      ylab = "y",
+      col = "gray50")
									
geom_line( )
									> # Line plot with 'ggplot2'
> ggplot(data = data.frame(time = time, y = y),
+        mapping = aes(x = time, y = y)) +  
+ geom_line(color = "gray50") + 
+ labs(title = "Line plot of 'y'", 
+      x = "time", 
+      y = "y") +
+ theme_bw()
									

Bar plot

The bar plot is used to visualize categorical variables (e.g., 'school'). The observed frequencies of the levels of a categorical variable are described by vertical bars, whose height corresponds to the frequency value of each level of the variable. The bars are arranged along one axis (usually the x-axis, i.e. the horizontal axis).

barplot( )
									> # Bar plot
> frequency_school <- table(dataset1$school)
> barplot(height = frequency_school,
+         horiz = FALSE,  
+         main = "Bar plot of 'school'",
+         xlab = "school",
+         ylab = "number of students",
+         ylim = c(0,
+                  max(frequency_school+10)),
+         col = "aquamarine3")
> box() # adds a square around the plot	
									
geom_bar( )
									> # Bar plot with 'ggplot2'
> ggplot(data = dataset1, 
+        mapping = aes(x = school)) + 
+ geom_bar(stat = "count", 
+          fill = "aquamarine3") + 
+ labs(title = "Bar plot of 'school'", 
+      x = "school", 
+      y = "number of students") +
+ scale_x_continuous(breaks=c(11:16)) +
+ theme_bw()
									

Histogram

The histogram is used to visualize the distribution of the values of a numeric variable. It divides the range of the variable into intervals, also called bins, and counts the number of observations that fall into each interval. The resulting histogram consists of a sequence of adjacent rectangles whose heights correspond to the frequency (or density) of observations falling into a specific interval.

hist( )
								> # Histogram of 'x1' ('visual perception')
> hist(x = dataset1$x1,
+      freq = TRUE,
+      main = "Visual perception",
+      xlab = "value",
+      ylab = "frequency",
+      col = "lavender")
> box()
									
geom_histogram( )
									> # Histogram with 'ggplot2'
> ggplot(data = dataset1, 
+        mapping = aes(x = x1)) + 
+ geom_histogram(bins = 9, 
+                fill = "lavender", 
+                color = "black") +
+ labs(title = "Visual perception", 
+      x = "value", 
+      y = "frequency") +
+ theme_bw()
									

Density plot

Similar to a histogram, the density plot represents the distribution of a continuous variable. A density plot is a smooth curve which that estimates probability density function of a continuous variable.

plot( x = density( ) )
								> # Density plot of 'x1'
> plot(x = density(dataset1$x1),
+      main = "Visual perception",
+      xlab = "value",
+      ylab = "density",
+      lwd = 2)
									
geom_density( )
									> # Density with 'ggplot2'
> ggplot(data = dataset1,
+        mapping = aes(x = x1)) + 
+ geom_density(color = "black", 
+              lwd = 1) +
+ labs(title = "Visual perception", 
+      x = "value", 
+      y = "density") +
+ theme_bw()
									

Box plot

A boxplot displays the distribution of numeric variables, their central tendency and variability. It provides a visual summary of the distribution by including interquartile range (length of the box), median (line inside the box), whiskers (the minimum and maximum values from the quartiles), and outliers (all points outside the whiskers). The boxplot is useful for outliers identification and for comparing the distribution of a variable across different levels (groups) of a categorical variable.

boxplot('x' or 'formula' )
								> # Box plot
> # boxplot(x = , ...) # one variable only
> boxplot(
+  formula = dataset1$ageyr ~ dataset1$school,
+  main = "Age (years)",
+  xlab = "school",
+  ylab = "ageyr",
+  col = c("orange","turquoise4"),
+  horizontal = FALSE)
> 
> legend("top",
+        legend = levels(dataset1$school),
+        fill = c("orange","turquoise4"))
geom_boxplot( )
									> # Box plot with 'ggplot2'
> ggplot(data = dataset1, 
+        mapping = aes(x = school,
+                      y = ageyr)) + 
+ geom_boxplot(mapping = aes(fill = school), 
+              color = "black") +
+ labs(title = "Age (years)", 
+      x = "school", 
+      y = "ageyr") +
+ scale_fill_manual(values = c("orange",
+                           "turquoise4")) +
+ theme_bw()
									

geom_violin( ) with 'ggplot2'
									> # Violin plot with 'ggplot2'
> ggplot(data = dataset1, 
+        mapping = aes(x = school,
+                      y = x1)) + 
+ geom_violin(mapping = aes(fill = school), 
+             color = "black") +
+ labs(title = "Visual perception (x1)", 
+      x = "school", 
+      y = "Visual perception (x1)") +
+ geom_boxplot(width=0.1) +
+ scale_fill_manual(values = c("orange",
+                              "turquoise4"))+
+ theme_bw()

Correlation plot

A correlation plot shows the pairwise correlation coefficients between the variables of a dataset, which helps with understanding the relationships between multiple variables. The R package corrplot provides a function to create correlation plots.

corrplot( ) with 'corrplot'
 
						> # Correlation plot
> 
> # Install and load 'corrplot' package
> install.packages("corrplot")
> library(corrplot)
> 
> # correlation matrix of x1, x2, ..., x9 
> correlation_mat <- cor(dataset1[,c(7:15)]) 
> 
> # Correlation plot with 'corrplot'
> 
> # (1) method = "circle"
> corrplot(correlation_mat, 
+          method = "circle", 
+          type="lower")
> 
> # (2) method = "number"
> corrplot(correlation_mat, 
+          method = "number",
+          type="lower")

Theme (ggplot2)

In ggplot2, themes control several visual aspects of a plot, for instance, axis labels, the title, the legend, the background color, grid lines and other characteristics. The user can apply an available theme or a customized one. Some of the available themes are theme_classic( ), theme_bw( ), and theme_minimal( ). Themes are helpful for customizing a plot's styling and matching a scientific journal's publication standards. The function theme( ) allows for the customization of different aspects of the plot.

Applying a custom theme

 
					> # Theme (ggplot2) 
> # (1) create ggplot object 'boxplot_x1'
> boxplot_x1 <- ggplot(data = dataset1, 
+                      mapping = aes(x = school,
+                                    y = x1)) + 
+ geom_boxplot(mapping = aes(fill = school), 
+              color = "black") +
+ labs(title = "Visual perception", 
+      x = "school", 
+      y = "Visual perception") +
+ scale_fill_manual(values = c("orange",
+                              "turquoise4")) 
>
> # (2) create ggplot theme 'theme_custom_1'
> theme_custom_1 <- theme_bw() +
+ theme(axis.title = element_text(size = 20, 
+                                 vjust = 0.5),
+      line = element_line(linetype = "dashed"),
+      plot.title = element_text(size = 40, 
+                               hjust = 0.5),
+      legend.position = "bottom",
+      legend.direction = "horizontal",
+      legend.text = element_text(size = 15),
+      legend.title = element_text(size = 15))
> # (3) add theme to the plot
> boxplot_x1 + theme_custom_1

Saving plots ...

... with RStudio

Saving plots ...

... from R console

using grDevices
 
								> # method (2): with 'png( )' 
> # saving image into current working directory
> png(filename = "visual-perception.png", 
+     width = 600, 
+     height = 400, 
+     units = "px")
> print(boxplot_x1 + theme_custom_1)
> dev.off() # closing R device for graphics
Other extensions are available, using the functions jpeg( ), bmp( ), tiff( ), svg( ), and pdf( )
using ggplot2
 
								> # method (1): with 'ggsave( )'
> ggsave(filename = "visual-perception.png",
+        width = 600,
+        height = 400, 
+        units = "px")
							
Other extensions are available, such as .JPEG, .BMP, .TIFF, .SVG, and .PDF

Statistical Analyses in R

Linear Regression

 
								> # Run a simple linear regression
> lm_model <- lm(formula = x6 ~ x4, 
>                data = dataset1)
> # Inspect the analysis results.
> summary(lm_model)

Call:
lm(formula = x6 ~ x4, data = dataset1)

Residuals:
     Min       1Q   Median       3Q      Max 
-1.88636 -0.52249 -0.01577  0.46656  3.07582 

Coefficients:
           Estimate Std. Error t value Pr(>|t|)
(Intercept)0.15613    0.12647   1.234    0.218    
x4         0.66302    0.03863  17.164   <2e-16 ***
---
Signif. codes:  0 ‘***’ 0.001 ‘**’ 
                0.01 ‘*’ 0.05 ‘.’ 0.1 ‘ ’ 1

Residual standard error: 0.779 on 299 degrees
of freedom
Multiple R-squared:  0.4963,	
Adjusted R-squared:  0.4946 
F-statistic: 294.6 on 1 and 299 DF, 
p-value: < 2.2e-16
								
							

Linear Regression

 
								> # Visualize the regression line
> ggplot(data = dataset1, 
+        mapping = aes(x = x4, 
+                      y = x6)) +
+ geom_point(color = "gray50") +
+ geom_smooth(method = "lm", 
+             formula = y ~ x, 
+             se = FALSE,
+             color = "red") +
+ theme_bw() +
+ labs(title = "Scatter plot and regression line",
+      x = "Paragraph comprehension (x4)",
+      y = "Word meaning (x6)")
								
							

Diagnostics plot

 
								> # Model diagnostics
> # par() to set grid 2x2 with mfrow()
> par(mfrow=c(2,2)) 
> 
> # plot of 'lm' object
> plot(lm_model,
+      cex = 0.8, # size of the points
+      pch = 19,  # point style
+      col = rgb(red = 127,
+                green = 127,
+                blue = 127,
+                alpha = 90,
+                maxColorValue = 255), # color
+      lwd = 2) # line width
								
							

Multiple Linear Regression

 
						> # Run a multiple linear regression
> lm_multiple <- lm(formula = x1 ~ x2 + x3 + x4, 
>                   data = dataset1)
>
> # Inspect the analysis results.
> summary(lm_multiple)

Call:
lm(formula = x1 ~ x2 + x3 + x4, data = dataset1)

Residuals:
    Min      1Q  Median      3Q     Max 
-3.6957 -0.6529  0.1000  0.6616  2.3413 

Coefficients:
            Estimate Std. Error t value Pr(>|t|)    
(Intercept)  2.40878    0.31567   7.631 3.20e-13 ***
x2           0.13247    0.05133   2.581   0.0103 *  
x3           0.35936    0.05349   6.718 9.38e-11 ***
x4           0.29789    0.04946   6.023 5.04e-09 ***
---
Signif. codes:  0 ‘***’ 0.001 ‘**’ 0.01 ‘*’ 0.05 ‘.’ 0.1 ‘ ’ 1

Residual standard error: 0.979 on 297 degrees of freedom
Multiple R-squared:  0.3039,	Adjusted R-squared:  0.2968 
F-statistic: 43.21 on 3 and 297 DF,  p-value: < 2.2e-16
						
					

Structural Equation Models (SEM)

						> library(lavaan)
					

Multiple Linear Regression in SEM framework

Model specification and estimation
 
									> # (1) specify model, same as with lm()
> model <- "x1 ~ 1 + x2 + x3 + x4"
> # (2) run estimation
> lm_sem_model <- sem(model = model, 
+                     data = dataset1) 
									
								
Summary
 
									> summary(lm_sem_model) # (3) inspect results
Estimator                                         ML
Optimization method                           NLMINB
Number of model parameters                         5
Number of observations                           301

Model Test User Model:												
Test statistic                                 0.000
Degrees of freedom                                 0

Parameter Estimates:
Standard errors                             Standard
Information                                 Expected
Information saturated (h1) model          Structured

Regressions:
				Estimate  Std.Err  z-value  P(>|z|)
x1 ~                                                
x2                0.132    0.051    2.598    0.009
x3                0.359    0.053    6.763    0.000
x4                0.298    0.049    6.064    0.000

Intercepts:
				Estimate  Std.Err  z-value  P(>|z|)
.x1                2.409    0.314    7.682    0.000

Variances:
				Estimate  Std.Err  z-value  P(>|z|)
.x1                0.946    0.077   12.268    0.000 
									
								

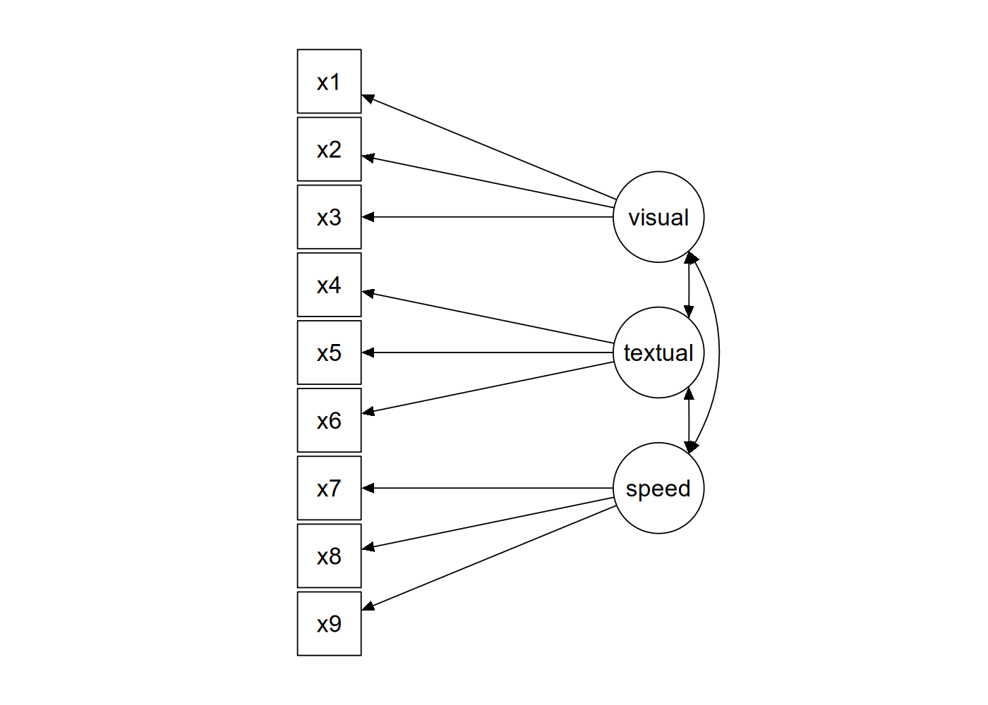
SEM framework with three latent variables

SEM framework with three latent variables

Model specification and estimation
 
								> # (1) Specify SEM model with three latent variables.
> model_2 <- "
+     # Latent variables
+     latent1 = ~ x1 + x2 + x3
+     latent2 = ~ x4 + x5 + x6
+     latent3 = ~ x7 + x8 + x9
+ 
+     # Covariance between latent variables
+     latent1 ~~ latent2
+     latent1 ~~ latent3
+     latent2 ~~ latent3
+ "
> # (2) Run the analysis
> sem_model_2 <- sem(model = model_2, data = dataset1)
								
							
content inspired by tutorial at lavaan.ugent.be/tutorial/cfa.html

Summary SEM with latent variables

 
								> # summary with fit measures
> summary(sem_model_2) 
> round(
+     fitMeasures(sem_model_2)[c("chisq", 
+                                "df", 
+                                "pvalue", 
+                                "cfi", 
+                                "rmsea",
+                                "srmr")], 3)
	chisq     df pvalue    cfi  rmsea   srmr 
85.306 24.000  0.000  0.931  0.092  0.065 
+ # print out more fit measures with
+ # summary(sem_model_2, fit.measures = TRUE)
								
							

Visualize SEM model

						> library(semPlot)
					

Visualize SEM model

								> # Plot the SEM model with three latent variables
> semPaths(sem_model_2, 
+          what = "path", 
+          whatLabels = "est")
							

Linear Mixed-Effects Models

						> library(lme4)
					

Random Intercept

Random intercept per school: model specification and estimation
								> # Fit a linear mixed-effects model with 
> # random intercepts for school
> lme_model <- x6 ~ 1 + (1|school) + sex +
+                   ageyr + x4 + x5
> model <- lmer(formula = lme_model, data = dataset1)
> summary(model)

							
\[ \text{random intercept} \\ \text{per school:} \\ (1 | \text{school} )\]
Summary of the model
						Linear mixed model fit by REML ['lmerMod']
Formula: x6 ~ 1 + (1 | school) + sex + ageyr + x4 + x5
Data: dataset1
REML criterion at convergence: 661.6
Scaled residuals: 
	Min      1Q  Median      3Q     Max 
-2.2242 -0.6463 -0.0017  0.6048  3.4045 

Random effects:
	Groups   Name        Variance Std.Dev.
	school   (Intercept) 0.001672 0.04089 
	Residual             0.498582 0.70610 
Number of obs: 301, groups:  school, 2

Fixed effects:
				Estimate Std. Error t value
(Intercept) -0.370401   0.582357  -0.636
sex2        -0.134552   0.083085  -1.619
ageyr       -0.006922   0.040591  -0.171
x4           0.368365   0.051866   7.102
x5           0.365919   0.047045   7.778

Correlation of Fixed Effects:
		(Intr) sex2   ageyr  x4    
sex2  -0.202                     
ageyr -0.965  0.152              
x4    -0.044 -0.107  0.035       
x5    -0.260  0.058  0.112 -0.719
Note: p-value's are not reported in the summary. The 'lmerTest' package runs with the function lmerTest : : lmer( ) (same name as in 'lme4' package) returns the p-value's (this is only available for Linear Mixed-Effects Models, not for Generalized Linear Mixed-Effects Models).

Diagnostics

								> # Diagnostics of the model
> 
> # Homoscedasticity of residuals
> plot(lme_model,
+      pch = 19,
+      cex = 0.8,
+      main = "Residuals",
+ )
> 
> # normality - Q-Q plot
> qqnorm(residuals(lme_model))
> qqline(residuals(lme_model))		
								

Mixed-Effects Model

Consider the variables: intercept, id (student), school, sex, x1, x2 and x3. Assume that for each student the abilities x1, x2, and x3 are measured multiple times.
Effect Model specification (formula)
random intercept per school x1 ~ 1 + (1|school)
random intercept per school and sex x1 ~ 1 + (1|school:sex)
fixed and random slope of x2 per student x1 ~ x2 + (x2|id)
fixed and random slope of x2 and x3 per student x1 ~ x2 + x3 + (x2 + x3|id)

Summary of
Part II

Data exploration
Data visualization (with 'graphics' and 'ggplot2')
Structural Equation Models with 'lavaan' package
Linear Mixed-Effects models with 'lme4' package

Thanks for taking part in this workshop!
Happy R coding!


Resources